
タバコの効用
「塩で高血圧になる」とか「卵を食べるとコレステロールが上がる」とか、医者の健康指導にはたくさんの嘘があるものだけど、「タバコは百害あって一利なし」もそんな嘘のひとつだ。
実際のところ、タバコには数多くの効能がある。
たとえば、喫煙者は口内炎になりにくいし、


喫煙者は潰瘍性大腸炎になりにくいという研究もある。

口内炎は口腔粘膜の炎症で、潰瘍性大腸炎は大腸粘膜の炎症だ。
タバコが口内炎にも潰瘍性大腸炎にも効くということは、要するに、タバコは胃腸粘膜の炎症を抑えるということ。
タバコの抗炎症作用は腸粘膜だけではない。神経の炎症をも鎮めてくれる。
たとえばパーキンソン病(PD)にも効果がある。


何らかの原因(農薬、添加物、ワクチンなど)でミトコンドリアが機能不全に陥り、酸化ストレスが増大し、脳内に異常タンパク(アミロイドβ、αシヌクレインなど)が蓄積し、神経系で炎症が起こり、PDはじめ様々な神経疾患が起こるところ、タバコはこの炎症を鎮める方向に作用する。
PDの患者は当院にもよく来られるけれども、確かに、喫煙者でPDを発症したという人は見たことがない。
しかし「治療のためにタバコを吸いましょう」と勧めるのは、さすがにちょっとね(笑)
医学界はタバコを長年悪者にしてきた。「タバコこそ健康を損ねる諸悪の根源!」みたいな勢いでタバコを敵視してきたから、医者から「健康のためにタバコを吸いましょう」なんて言われたら、患者は「この医者、狂ってる」と思うだろう(笑)
具体的に、タバコに含まれる何が体にいいのか。
ニコチンである。
ここでも、世間一般のイメージの逆が正しい。つまり、世間の人々は「タバコにはニコチンという恐ろしい有害物質が含まれていて、これが癌や心臓病などの病気を引き起こす」みたいなイメージを持っているだろうけど、違う。正しくは、「タバコに含まれるニコチンはさまざまな病気に効く特効薬だ」。

たとえば、抗炎症作用。たいていの病気は体のどこかで炎症が起こっているものだけど、ニコチンの抗炎症作用により症状が軽減する。また、代謝を促進する効果があるので肥満予防になるし、ドーパミンの分泌が促進されて集中力が高まったりうつ病や不安症にも効きます。

ニコチンが効く病気をざっと列挙すると、パーキンソン病、認知症、炎症性腸疾患(潰瘍性大腸炎など)、うつ病、統合失調症、ウイルス感染症(コロナも含め)など、多岐にわたる。特に、パーキンソン病など一般に難治といわれる病気に効くことは注目に値する。
タバコがコロナに効くことは、2021年に発表された広島大学の研究でも示されていた。

コロナに限らず、「タバコを吸っていると風邪をひきにくい」ということは経験的に知られていたけれども、広島大の研究は、これに理論的根拠を与えるものだ。

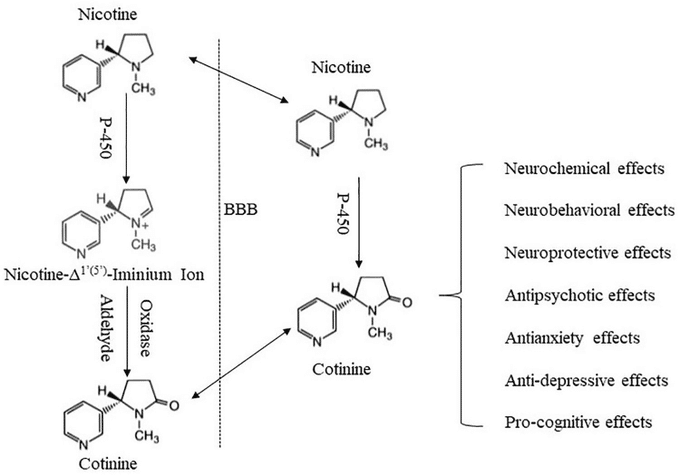
ニコチンの効能について、もう少し正確にいうと、ニコチン(nicotine)はタバコ葉に含まれるアルカロイドで、血中に入ると各種の酵素で代謝されて、コチニン(cotinine)という物質が生じる。コチニンこそタバコの健康効果の本丸で、これが神経保護作用、抗精神病作用、抗不安作用、抗うつ作用などを発揮します。しかし、コチニンという名前はあまり一般的ではないので、以下ではコチニンというべきところでも、ニコチンで通します。

喫煙者は分かるだろうけど、タバコを吸うと、ほっとしますね。いかにも、一服、という感じ。あれは、自律神経が交感神経優位から副交感神経優位に切り替わることで生じるリラックス効果です。具体的には、ニコチンは、副交感神経の伝達物質であるアセチルコリン(ACh)と同じ働きをします。
生化学を勉強したことがある人なら、ACh受容体には、ムスカリン性とニコチン性の2タイプがあると習っただろう。ニコチンはニコチン性ACh受容体のアゴニスト(作動体)として機能し、神経細胞のイオンチャンネルを開き、脱分極が促される。また、ニコチンにはアセチルコリンエステラーゼ(Achを分解する酵素)を抑制する作用もある。こうして、副交感神経が優位になり、抗不安作用、抗うつ作用、記憶力向上など、様々な効果が生じる。

しかし、アセチルコリンへの作用は、あくまでニコチンのひとつの側面に過ぎない。実際には、他にもドーパミン、ノルアドレナリン、グルタミン酸、セロトニン、βエンドルフィン、ギャバなど、様々な神経伝達物質に作用し効果を発揮する。

「喫煙者はボケにくい」というのは、明確な疫学的エビデンスがあって、これは、タバコを「百害あって一利なし」と断じたい医者にとって、何とも不都合な事実でした。
疫学研究の示すところでは「喫煙とアルツハイマー病には有意な負の相関があり、量的な相関も明確であった。つまり、喫煙量が多いほど、アルツハイマー病の発症リスクが低下した」
では、その作用機序は?
アルツハイマー病(AD)、あるいはその手前のMCI(軽度認知障害Mild Cognitive Impairment)は、アセチルコリンの機能低下によって生じるというのが多くの研究が示すところである。ということは、アセチルコリンを増やせば、ADが改善することになるが、

実際、ニコチンの投与により、確かに「注意力、記憶力などの認知機能が向上」した。

アセチルコリンには免疫抑制作用がある。
免疫というのは、体の防御部隊のようなもので、病原体の除去などに必要なものだけど、かといって、免疫が働きすぎてもダメなんだ。
コロナ禍でよく「サイトカインストーム」という言葉を聞いた。免疫防御部隊が頑張り過ぎて、炎症性物質があまりにも分泌され過ぎて、それでかえって、体がダメージを受けてしまう状態なんだけど、アセチルコリンは、この過剰な免疫を抑制してくれる。これはコリン作動性抗炎症経路(cholinergic anti-inflammatory pathway)といって、迷走神経(副交感神経)を介して働きます。
ニコチンは、先述のように、ほぼアセチルコリンのようなものだから、この経路を刺激して、過剰な免疫を抑制します。結果、サイトカインストームが落ち着き、炎症が静まります。


精神科病院で働いていた頃、多くの統合失調症患者を見たけど、統合失調症患者の喫煙率はすごく高かった。統計をとったわけではないけど、「みんな吸ってる」ぐらいの印象です。これ、体が求めてるからだと思う。

「ニコチンは中脳や前頭前皮質でのドーパミン分泌を促進する」という研究がある。
統合失調症はドーパミンの機能不全だという説があって、統合失調症患者がタバコを好んで吸うのは、タバコに含まれるニコチンがドーパミン分泌を促進することを本能的に察してるからじゃないかな。

あるいは、ニコチンはある種の毒に対して解毒剤として作用する。
たとえば、グルタミン酸は脳にとって興奮毒だけど、事前にニコチンで処理しておくと、毒性が生じない。

ニコチンにより、NADが増加し、加齢に関係した諸変化(認知機能低下など)が抑制された。
つまり、ニコチンは若返りの妙薬ということです。

タバコは甲状腺にもいい。
ニコチンは甲状腺ホルモンのような働きをします。甲状腺受容体に作用したり、不活性型甲状腺ホルモン(T4)を活性のあるT3に変換したり、要するにニコチンは基礎代謝をあげます。実際、喫煙者はT3が高く、TSHが低く、甲状腺の自己免疫マーカーが低い。
だから、喫煙者は橋本病(甲状腺機能低下症)にかかりにくいし、甲状腺癌の発生率が低い。逆に、禁煙すると橋本病の発症リスクが6倍も高くなる。
「健康のために」と禁煙したものの、健康になるどころか、気分が上がらないという人はけっこう多い。それで、またタバコを吸い始めるんだけど、これ、ニコチンの依存性というか、「また元気になりたい」という本能のなせるわざだよ。

「ニコチンがそんなに体にいいとは知らなかった。さっそく今日からタバコ吸い始めます」という人もいるかもしれないけど、ちょっと待った!
上記でいろいろ挙げたように、タバコには様々な健康効果があることは間違いないけれども、一方、世間一般によく言われるように、肺癌とか咽頭癌とか肺気腫とか、タバコの有害性を示すデータも確かにある。
一体、タバコは体にいいのか悪いのか、どっちなんだ、ってことだよね。
僕は、タバコという植物(ナス科タバコ属)自体には、何ら毒性はないと思っている。
みなさんご存知のとおり、タバコを吸うという行為は、本来ネイティブアメリカンの習慣で、そういうネイティブアメリカンに肺癌とか肺気腫が見られたかというと、そんな記録は一切ない。
ネイティブアメリカンのなかには、タバコの葉っぱを煮出して、その煮汁を飲むような部族さえあったけれども、彼らは健康そのものだった。
https://clnakamura.com/blog/2077/

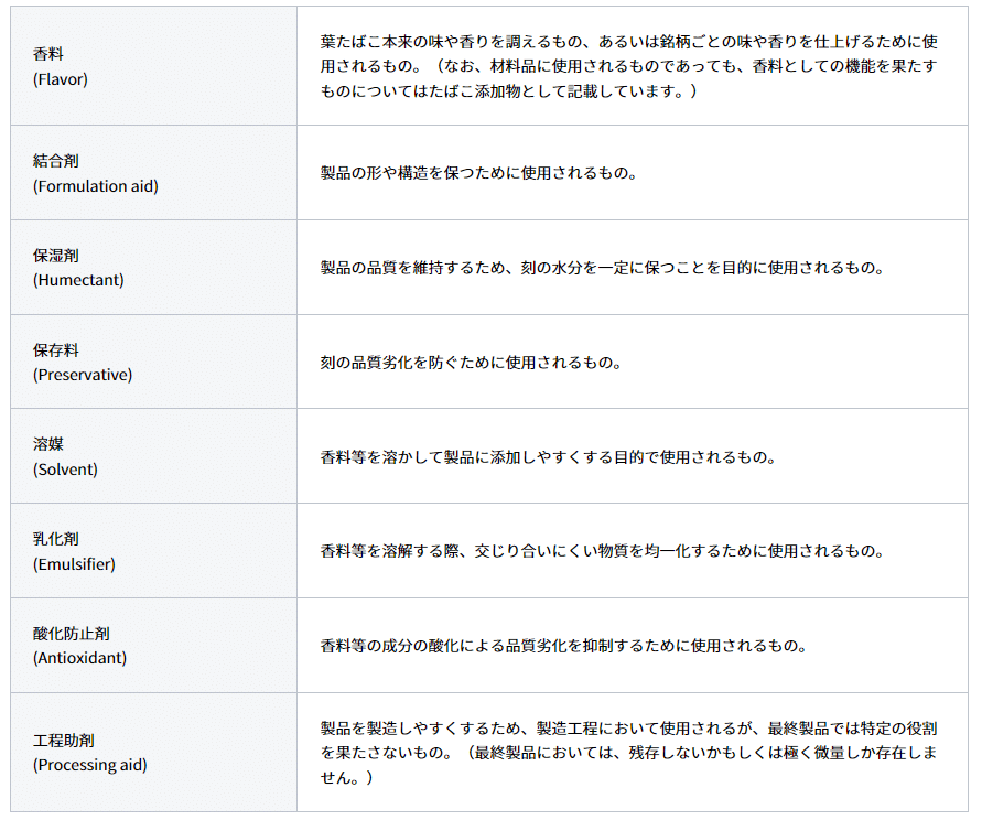
タバコで肺癌になるというのは、タバコに含まれる添加物のせいだと思っている。JTのホームページを見ればいい。

タバコには、香料、結合剤、保湿剤、保存料、溶媒、乳化剤、酸化防止剤、工程助剤など、数えきれないほどの添加物が使われている。そのなかには、
ベンゾピレン、多環芳香族炭化水素類、ニトロソアミン類等、およそ70種類もの発癌物質が含まれている。
つまり、「タバコ自体は無害(どころか体にいい)だけれども、タバコに含まれる添加物が最悪」というのが僕の結論です。
なので、もしタバコを吸うなら、そういう添加物が極力含まれていないものがオススメです。
具体的には、「チェ」とか、「アメスピ」が無難かと思います。


あるいは、タバコを吸わずとも、ニコチンを摂取すればいいわけで、となれば、ニコチンパッチを貼るとかニコチン含有ガムを食べるという手も考えられます。
あるいは、ナイアシン(ビタミンB3)のサプリを飲むのもひとつです。
ナイアシンは、かつては、ニコチン酸(nicotinic acid)と呼ばれていました。しかし、ニコチンが「タバコに含まれる有害物質」のイメージが世間に広まったため、ナイアシンという名前に改称されたという経緯があります。

だから、「ナイアシン=ニコチン酸」だし、ホットフラッシュの起こらない「ナイアシンアミド=ニコチンアミド」ということです。
ただ、「ナイアシン=ニコチン」ではありません。ニコチンとニコチン酸は微妙に構造式が違います。

もっとも、このあたりは皆、似た者同士ではあります。
ナイアシンアミド(ニコチンアミド)からNMNができ、NMNからNADが作られて、というNADサイクルがある。

NMNのサプリは高額で、ものによっては1万5千円以上したりするけど、このNADサイクルを見れば、ナイアシンあるいはナイアシンアミドを飲めばNMNと同じ効果が期待できる。値段の張るNMNを買う必要はないわけです。
現代のタバコ叩きは異常だと思う。僕自身はタバコは吸わないけれど、喫煙スペースでマナーを守ってタバコを吸っている人さえ、バッシングを受ける。愛煙家が気の毒です。
なぜ、こんな状況になったのか。
医学ではありません。これは完全に政治的な問題です。

1989年ブッシュ大統領がパナマ運河を侵攻し、ノリエガ将軍の身柄を拘束した。その目的は、ノリエガが持つ麻薬シンジケートの乗っ取りと、麻薬の販路拡大にあった。

アメリカの麻薬シンジケートを取り仕切るヒラリー・クリントンは、ノリエガを尋問し、麻薬を大量に売りさばく極意を知った。
「タバコを禁止すれば、麻薬が売れる」

こうして大々的な嫌煙ムーブメントが仕掛けられた。医学界もその一端を担った。結果、麻薬の使用量が激増し、麻薬中毒者は1億人を超えた。
嫌煙活動は、みなさんの健康のためじゃないですよ。麻薬を売るためです。
一見嘘のような、でも本当の話。
コロナがきっかけで人々がどんどん嘘に気付き始めたけど、タバコ悪玉説もそんな嘘のひとつだということです。



コメント